Versões comparadas

Chave

  • Esta linha foi adicionada.
  • Esta linha foi removida.
  • A formatação mudou.
Comentário: Migration of unmigrated content due to installation of a new plugin

...

Control de Poder De/

...

En terceros

Produto

Producto:

Microsiga Protheus®

Ocorrência

Ocurrencia:

Como efetuo o controle

¿Cómo realizo el control de poder De/

Em terceiros

En terceros?

Passo

Paso a

passo

paso:

A decisão de movimentar ou não estoque interfere diretamente nos controles do sistema, tanto no armazenamento de dados, quanto no calculo de custos. Vejamos o que acontece:

Poder de/em terceiros sem movimentação de estoque:

Ao enviar produtos a terceiros (nosso em poder de terceiros), o sistema armazena no SB2, no campo B2_QTER a quantidade enviada e grava, no SB6, registro do movimento com tipo "R" (remessa);

Ao receber produtos de terceiros (de terceiros em nosso poder), o sistema apenas armazena, no SB6, o registro do movimento com tipo "R" (remessa);

Nesta situação o sistema não movimenta custos, pois não houve movimento de estoque;

Na devolução o sistema gera novo registro no SB6 com tipo "D" e baixa a quantidade devolvida no SB2, B2_QTER;

Poder de/em terceiros com movimentação de estoque:

Ao enviar produtos a terceiros (nosso, em poder de terceiros), o sistema armazena no SB2, no campo B2_QNPT a quantidade enviada e grava, no SB6, o registro do movimento com tipo "R" (remessa);

Ao receber produtos de terceiros (de terceiros em nosso poder), sistema armazena no SB2, no campo B2_QTNP a quantidade recebida e grava, no SB6, o registro do movimento com tipo "R" (remessa);

Nesta situação o sistema movimenta custos, portanto, a apuração do custo médio deve ser diária.

Deve-se atentar muito para isso, pois somente desta forma o sistema considerará de forma correta as operações de devolução que envolvem terceiros.

Na devolução o sistema gera novo registro no SB6 com tipo "D" e baixa a quantidade devolvida no SB2, B2_QNPT para produtos em poder de terceiros, e B2_QTNP para produtos de terceiros em nosso poder. 

Exemplo do SB6

Operações

1) Envio de peças para demonstração a cliente 000001:

a) Produto: 10100 - Microcomputador

b) Tipo de Pedido Venda: N

c) TES Poder Terceiros: R

d) TES Atualiza Estoque: S

  • Inclua o Produto
  • Inclua o Cliente
  • Inclua o TES de Saída (F4_PODER3 = Remessa)
  • Inclua o Pedido de Vendas
  • Realize o Faturamento

2) Devolução de peças enviadas para demonstração ao cliente 000001:

a) Produto: 10100 - Microcomputador

b) Tipo de NF

La decisión de mover o no el stock afecta directamente los controles del sistema, tanto en el almacenamiento de datos como en el cálculo de costos. Veamos lo que sucede:


Poder De/En terceros sin movimiento de stock:

Al enviar productos a terceros (nuestro en poder de terceros), el sistema almacena en el SB2, en el campo B2_QTER, la cantidad enviada y graba en el SB6 el registro del movimiento con tipo "R" (remisión).

Al recibir productos de terceros (de terceros en nuestro poder), el sistema solamente almacena en el SB6 el registro del movimiento con tipo "R" (remisión).

En esta situación, el sistema no registra movimientos de costos porque no hubo movimiento de stock.

En la devolución el sistema genera nuevo registro en el SB6 con tipo "D" y da baja a la cantidad devuelta en el SB2, B2_QTER.

Poder De/En terceros con movimiento de stock:

Al enviar productos a terceros (nuestro en poder de terceros), el sistema almacena en el SB2, en el campo B2_QNPT, la cantidad enviada y graba en el SB6 el registro del movimiento con tipo "R" (remisión).

Al recibir productos de terceros (de terceros en nuestro en poder), el sistema almacena en el SB2, en el campo B2_QTNP, la cantidad recibida y graba en el SB6 el registro del movimiento con tipo "R" (remisión).

En esta situación, el sistema registra los costos, por lo tanto, el cálculo del costo promedio debe realizarse a diario.

Es importante prestar mucha atención a esto, ya que de esta manera el sistema considerará correctamente las operaciones de devolución que involucran a terceros.

En la devolución el sistema genera un nuevo registro en el SB6 con tipo "D" y baja la cantidad devuelta en el SB2, B2_QNPT para productos en poder de terceros, y B2_QTNP para productos de terceros en nuestro poder. 

Ejemplo del SB6

Operaciones

1) Envío de partes para mostrar al cliente 000001:

a) Producto: 10100 - Microcomputadora

b) Tipo de Pedido Venta: N

c) TES Poder Terceros: R

d) TES Actualiza stock: S

  • Incluya el producto
  • Incluya al cliente
  • Incluya el TES de salida (F4_PODER3 = Envío)
  • Incluya el pedido de ventas
  • Realice la facturación


2) Devolución de partes enviadas para mostrar al cliente 000001:

a) Producto: 10100 - Microcomputadora

b) Tipo de Fact de entrada: B

c) TES Poder

Terceiros

Terceros: D

d) TES

Atualiza Estoque

Actualiza stock: S

Inclua o


  • Incluya el TES de Entrada (F4_PODER3 =
Devolução
  • Devolución)
Inclua o Documento de Entrada
  • Incluya el documento de entrada


3)

Envio

Envío de

peças para conserto ao fornecedor

partes para reparo al proveedor 000009:

a)

Produto

Producto: 30304 - Teclado para

Microcomputador

microcomputadora

b) Tipo de Pedido

Venda

Venta: B

c) TES Poder

Terceiros

Terceros: R

d) TES

Atualiza Estoque

Actualiza stock: N

  • Inclua o Produto
  • Inclua o Fornecedor

    • Incluya el producto
    • Incluya el proveedor
    • Incluya el
    Inclua o
    • TES de Entrada (F4_PODER3 =
    Remessa
    • Remisión)
  • Inclua o Pedido de Vendas
    • Incluya el pedido de ventas
    • Facture el pedido de ventas
    Fature o Pedido de Vendas


    4)

    Devolução

    Devolución de

    peças

    partes enviadas

    para conserto ao fornecedor

    al proveedor para reparación PROVEEDOR 000009:

    a)

    Produto

    Producto: 30304 - Teclado para

    Microcomputador

    microcomputadora

    b) Tipo de Fact de

    NF

    entrada: N

    c) TES Poder

    Terceiros

    Terceros: D

    d) TES

    Atualiza Estoque

    Actualiza stock: N

    Inclua a
    • Incluya el TES de
    Entrada
    • entrada (F4_PODER3 =
    Devolução
    • Devolución)
    Inclua o Documento de Entrada
    • Incluya el documento de entrada

    5)

    Recebimento

    Recepción de

    peças para demonstração do fornecedor

    partes para mostrar al proveedor 000010:

    a)

    Produto

    Producto: 20200 - Monitor de

    Vídeo

    video

    b) Tipo de Fact de

    NF

    entrada: N

    c) TES Poder

    Terceiros

    Terceros: R

    d) TES

    Atualiza Estoque

    Actualiza stock: N

  • Inclua o Produto
  • Inclua o Fornecedor
  • Inclua a
    • Incluya el producto
    • Incluya el proveedor
    • Incluya el TES de Entrada (F4_PODER3 =
    Remessa
    • Remisión)
    Inclua o Documento de Entrada
    • Incluya el documento de entrada

    6)

    Devolução

    Devolución de

    peças recebidas para demonstração do fornecedor

    partes recibidas para mostrar al proveedor 000010:

    a)

    Produto

    Producto: 20200 - Monitor de

    Vídeo

    video

    b) Tipo de Pedido

    Venda

    Venta: B

    c) TES Poder

    Terceiros

    Terceros: D

    d) TES

    Atualiza Estoque

    Actualiza stock: N

    Inclua a
    • Incluya el TES de
    Saída
    • Salida (F4_PODER3 =
    Devolução
    • Devolución)
  • Inclua o Pedido de Vendas
    • Incluya el pedido de ventas
    • Facture el pedido de ventas
    Fature o Pedido de Vendas

    7)

    Recebimento

    Recepción de

    peças para conserto do cliente

    partes para reparación, Cliente 000014:

    a)

    Produto

    Producto: 20201 - C.P.U.

    b) Tipo de

    NF

    Fact de entrada: B

    c) TES Poder

    Terceiros

    Terceros: R

    d) TES

    Atualiza Estoque

    Actualiza stock: N

  • Inclua o Produto
  • Inclua o Cliente
  • Inclua a
    • Incluya el producto
    • Incluya al cliente
    • Incluya el TES de Entrada (F4_PODER3 =
    Remessa
    • Remisión)
    Inclua o Documento de Entrada
    • Incluya el documento de entrada

    8)

    Devolução

    Devolución de

    peças

    partes enviadas para

    conserto ao

    reparación, cliente 000014:

    a)

    Produto

    Producto: 20201 - C.P.U.

    b) Tipo de Pedido

    Venda

    Venta: N

    c) TES Poder

    Terceiros

    Terceros: D

    d) TES

    Atualiza Estoque

    Actualiza stock: N

    Inclua a
    • Incluya el TES de
    Saída
    • Salida (F4_PODER3 =
    Devolução
    • Devolución)
  • Inclua o Pedido de Vendas
  • Fature o Pedido de Vendas
    • Incluya el pedido de ventas
    • Facture el pedido de ventas

    Tabla Control Poder De/En Terceros

    Tabela Controle Poder de/em Terceiros

    (SB6)

    B6_CLIFOR

    B6_PRODUTO

    B6_DOC

    B6_QUANT

    B6_TES

    B6_TIPO

    B6_CUSTO1

    B6_IDENT

    B6_SALDO

    B6_PODER3

    000001

    10100

    000001

    2

    520

    E

    1772,94

    000002

    0

    R

    000009

    30304

    000002

    5

    530

    E


    000005

    0

    R

    000010

    20200

    100000

    10

    201

    D


    000006

    0

    R

    000014

    20201

    200000

    3

    201

    D


    000007

    0

    R

    000001

    10100

    300000

    2

    200

    E

    1772,94

    000002


    D

    000009

    30304

    400000

    5

    202

    E


    000005


    D

    000010

    20200

    000003

    10

    540

    D


    000006


    D

    000014

    20201

    000004

    3

    540

    D


    000007


    D

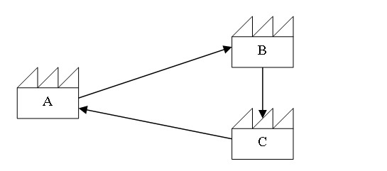
    Conceito Operação


    Concepto Operación Triangular

    Image Removed

    Image Added

    Operação


    Operación Triangular consiste

    em uma transação que envolve mais

    en una transacción que involucra más de 2 empresas para

    um processo

    un proceso de

    beneficiamento

    mejora.

    Podemos

    exemplificar

    ejemplificar como:

    Uma

    Una empresa 

    envia um material à

    envía un material a la empresa para

    beneficiamento

    mejora,

    e esta envia à

    y esta envía a la empresa C, que

    deve efetuar o trabalho e devolver o material diretamente à

    debe efectuar el trabajo y devolver el material directamente a la empresa A.

    Desta forma, a Nota Fiscal de Remessa para Beneficiamento é enviada à empresa B, enquanto a Nota Fiscal de Devolução desta mercadoria é enviada pela empresa C.

    É possível fazer este controle no Siga através do parâmetro “Operação

    De esta manera, la factura de envío para mejora se envía a la empresa B, por otro lado la factura de devolución de esta mercadería lo envía la empresa C.

    ¿Se puede hacer este control en el sistema SIGA a través del parámetro “Operación Triangular (S/N)? “

    nas rotinas

    en las rutinas de Pedido de

    Venda e Nota Fiscal

    Venta y Factura de Entrada.

    Os parâmetro são acessados através da

    Los parámetros se acceden a través de la tecla [F12] (

    na versão

    en la versión DOS,

    pela

    por la tecla [F10]).

    Nestes

    En estos casos,

    a Nota Fiscal Origem pode ser acessada, pressionando a

    se puede acceder a la Factura Origen, pulsando la tecla [F4] sobre

    o

    el campo

    “Quantidade”, onde serão apresentadas todas as Notas Fiscais do Produto que envolvem Poder de Terceiros.

    Cantidad, donde se presentarán todas las facturas del producto que involucran el poder de terceros.

    De esta manera se puede dar entrada a una factura del proveedor C y seleccionar la factura de origen del proveedor B.

    EJEMPLO:

    Tenemos tres empresas A, B y C.

    Incluya el producto PRUEBA con

    Desta forma pode-se dar entrada de uma NF do fornecedor C e selecionar a NF de origem do fornecedor B.

    EXEMPLO:

    Temos três empresas A, B e C.

    Inclua o produto TESTE com

    saldo inicial.

    1)

    Acesse

    Acceda a la empresa A e

    inclua uma NF de SAIDA

    incluya una FACTURA de SALIDA (NORMAL) para

    a

    la empresa B (

    a

    la empresa B

    deve ser cadastrada

    se debe registrar como cliente) para

    o produto TESTE com qtde

    el producto PRUEBA con Cant = 15

    com

    con TES que

    atualiza estoque e remessa para terceiros

    actualiza el stock y envío a terceros.

    2)

    Acesse

    Acceda a la empresa B e

    inclua uma NF

    incluya una FACTURA de Entrada (NORMAL) para

    o fornecedor

    el proveedor A (

    a

    la empresa B

    deve ser cadastrada como fornecedor) para o produto TESTE com qtde = 15 e TES que atualiza ESTOQUE (não controla poder de terceiros

    se debe registrar como proveedor) para el producto PRUEBA con Cant = 15 con TES que actualiza el STOCK (no controla poder de terceros).

    3)

    Na

    En la empresa B,

    lance a NF de SAIDA – tipo BENEFICIAMENTO do produto TESTE para a fornecedor C, com TES que atualiza estoque e de remessa para terceiro, qtde

    Registre la Factura de SALIDA – tipo de MEJORA del producto PRUBA para el proveedor C, con TES que actualiza el stock y el envío a tercero, cant = 15.

    4)

    Acesse

    Acceda a la empresa C e

    inclua uma NF

    incluya una Factura de Entrada NORMAL

    do fornecedor

    del proveedor B (

    a

    la empresa B

    deve ser cadastrada como fornecedor) para o produto TESTE com qtde = 15 e TES que atualiza ESTOQUE com remessa para terceiros

    se debe registrar como proveedor) para el producto PRUEBA con Cant = 15 con TES que actualiza el STOCK con envío para terceros).

    5)

    Acessar

    Acceda a la empresa C

    e lancer uma NF de SAIDA

    y registre una Fact de SALIDA – NORMAL para

    o

    el cliente B

    do produto TESTE com TES que atualiza estoque e devolução para terceiros, qtde

    del producto PRUEBA con TES que actualiza el stock y devolución para terceros, cant = 15.

    6)

    Acessar

    Acceda a la empresa B,

    e lançe uma NF

    y registre una Fact de ENTRADA - TIPO NORMAL,

    puxando a NF original da empresa C do produto TESTE com TES que atualiza estoque e de DEVOLUCAO para terceiro, quantidade

    considerando la factura original de la empresa C del producto PRUEBA con TES que actualiza el stock y la DEVOLUCIÓN a tercero, cantidad = 15.

    7)

    Acessar

    Acceda a la empresa B,

    lance uma NF de SAIDA

    registre una Fact de SALIDA - NORMAL para

    a

    la empresa A

    e atualizando estoque, qtde

    y actualice el stock, cant = 15.

    8)

    Acessar

    Acceda a la empresa A

    , e lance uma NF

    y registre una Fact de ENTRADA - TIPO

    BENEFICIAMENTO, puxando a NF original da empresa B do produto TESTE com TES que atualiza estoque e de DEVOLUCAO para terceiro, qtde

    Mejora, considerando la factura original de la empresa B del producto PRUEBA con TES que actualiza el stock y la DEVOLUCIÓN a tercero, cantidad = 15.

    RESUMO


    RESUMEN

    EMPRESA A

    EMPRESA B

    EMPRESA C

    1)

    NF

    Fact de

    Saída

    salida - Normal para B como

    REMESSA para

    REMESIÓN a 3o.

    2)

    NF

    Fact de

    Entrada

    entrada – Normal

    da

    de la empresa A.



    3)

    NF

    Fact de

    Saída

    salida – tipo BENEFIC. para

    fornecedor

    proveedor C como

    REMESSA para

    REMISIÓN a 3o.

    4)

    NF

    Fact Entrada – Normal

    do

    del B como

    REMESSA

    REMESIÓN de 3o.



    5)

    NF Saída

    Fact Salida – Normal para A

    com DEVOLUCAO para

    con DEVOLUCIÓN a 3o.


    6)

    NF

    Fact de

    Entrada

    entrada – tipo NORMAL

    puxando NF

    considerando la Fact original de C

    com

    con TES de

    DEVOLUCAO

    DEVOLUCIÓN de 3o.


    8)

    NF

    Fact de

    Entrada

    entrada – tipo

    BENEFICIAMENTO puxando NF

    MEJORA considerando Fact original de B como

    DEVOLUCAO

    DEVOLUCIÓN de 3o.

    7)

    NF

    Fact de

    Saída

    salida – Normal para

    a

    A

    BENEFICIAMENTO



    MEJORA PARA

    PRODUÇÃOQuando há beneficiamento que envolve produção deve-se proceder da seguinte forma

    PRODUCCIÓN

    Cuando existe mejora que involucra la producción, se debe proceder de la siguiente manera:

    1.

    Ter na estrutura um

    Tener en la estructura un código para

    beneficiamento;

    mejora.

    2.

    Abre-se uma

    Se abre una OP para

    o produto que será resultado do beneficiamento

    el producto que resultará de la mejora.

    3. Emita

    NF da matéria prima com

    una Fact de la materia prima con TES que controla el poder

    de/em terceiros gerando remessa

    De/En terceros generando remisión (F4_PODER3 = "R"). Esta

    NF será gravada no arquivo

    se grabará en el archivo de poder

    de

    De/

    em terceiros

    En terceros (SB6)

    4.

    Ao receber o material informe a devolução da matéria-prima com

    Al recibir el material informe la devolución de la materia prima con TES que controla el poder

    de

    De/

    em terceiros

    En terceros (F4_PODER3 = "D").

    Assim o sistema baixa o controle poder de/em terceiros gerado no passo anterior.

    De esta manera, el sistema baja el control de poder De/En terceros, generado en el paso anterior.

    Además, en la factura, se informa el producto que es el resultado de la mejora, en este ítem informe el número de la OP correspondiente al producto. De esta manera, el sistema genera automáticamente el requerimiento del material para la OP y atribuirá el costo.

    Se deben considerar los siguientes cuidados y evaluarlos cuando se utiliza el control de poder De/En terceros con movimiento de stock en estos casos:

    1. Si la remisión para mejora se genera antes de la apertura de la OP, el TES utilizado no debe registrar movimiento en stock. En caso contrario, si no hubiera saldo suficiente en stock después de generar la factura de envío, el sistema genera solicitudes de compra indebidamente para el producto.

    2. El movimiento de stock es opcional, pero, si se utiliza se considera en el cálculo del MRP

    3. Si se utiliza el movimiento de stock en la entrada o salida, se debe efectuar este en la devolución del material.

    Puede interesarle

    FAT0076 - Poder de Terceros - Correcta configuración del registro

    Informa-se ainda na NF, o produto que é resultado do beneficiamento, neste item informe o número da OP respectiva ao produto. Desta forma o sistema gera automaticamente a requisição do material para a OP e atribuirá o custo.

    Os seguintes cuidados devem ser tomados e avaliados quando se utiliza controle poder de/em terceiros com movimentação de estoque nestes casos:

    1. Se a remessa para beneficiamento é gerada antes da abertura da OP, o TES utilizado não deve movimentar estoque. Caso contrário, se não houver saldo suficiente em estoque após a geração da NF de remessa, o sistema gera solicitações de compra indevidamente para o produto.

    2. A movimentação de estoque é opcional, porém, se utilizada, é considerada no cálculo do MRP

    3. Caso seja utilizada a movimentação de estoque na entrada ou saída, deve-se efetuar o mesmo na devolução do material.

    Pode lhe interessarFAT0076 - Poder de Terceiros - Correta configuração do Cadastro

    de TES
    http://tdn.totvs.com/pages/viewpage.action?pageId=238037881

    FAT0098 -

    Beneficiamento via Faturamento utilizando Fornecedor

    Mejora mediante la facturación utilizando el proveedor
    http://tdn.totvs.com/display/PROT/FAT0098_Beneficiamento_Faturamento_Poder+Terceiro_Utiliza_Fornecedor

    FAT0057 -

    Emissão

    Emisión de

    Nota

    la factura de

    Devolução de Terceiros Retorno

    devolución de terceros - Respuesta
    http://tdn.totvs.com/pages/releaseview.action?pageId=236431772

    FAT0080 -

    Conceito

    Concepto de

    Operação Triangular

    operación triangular
    http://tdn.totvs.com/pages/viewpage.action?pageId=238038517

    FAT0165 -

    Configuração

    Configuración para

    emissao de

    emitir el pedido de

    vendas com Operação Triangular

    ventas con operación triangular
    FAT0165_

    Configuração

    Configuración_

    Emissão

    Emisión_Pedido_de_

    Vendas

    Ventas_

    Operação

    Operación_Triangular_(MATA410)

    PCOM12006

    MP - SIGACOM -

    Como realizar operação Triangular quando o encomendante não emite nota fiscal ao

    ¿Cómo realizar operación triangular cuando el solicitante no emite factura al industrializador?
    http://tdn.totvs.com/pages/viewpage.action?pageId=238038517

    PCOM12046 - Sobre

    o

    el HELP A103SLDPD3
    http://tdn.totvs.com/display/PROT/PCOM12046+-+Sobre+o+HELP+A103SLDPD3

    PCOM12000 -

    Guia Prático

    Guía práctico - Documento de

    Entrada

    entrada (MATA103 - Manual Completo)
    http://tdn.totvs.com/pages/viewpage.action?pageId=189314941

    PEST06505 -

    Controle do Armazém de Poder de Terceiros

    Control del almacén del poder de terceros (M_ALMTERC / MV_CONTERC)
    http://tdn.totvs.com/pages/viewpage.action?pageId=271395422

    PEST07570 - Help A460TESN3: Considera Saldo Poder de

    Terceiros

    Terceros para TES que

    não atualiza estoque

    no actualiza stock
    http://tdn.totvs.com/pages/viewpage.action?pageId=236427905

    Retorno

    Devolución Poder de

    Terceiros

    Terceros MV_LIBSB6
    http://tdn.totvs.com/display/PROT/Retorno+Poder+de+Terceiros+MV_LIBESB6_TGZRYX

    Tributaria

    MP - SIGACOM - ICMS - Poder de

    Terceiros

    terceros -

    Nota

    Factura de

    Retorno para Controle de

    devolución para el Control del Poder de

    Terceiros em

    Terceros en SC
    http://tdn.totvs.com/display/public/ConSeg/ICMS+-+Poder+de+Terceiros+-+Nota+de+Retorno+para+Controle+de+Poder+de+Terceiros+em+SC