Ir para o conteúdo principal
assistive.skiplink.to.breadcrumbs
assistive.skiplink.to.header.menu
assistive.skiplink.to.action.menu
assistive.skiplink.to.quick.search
Autenticação
Ir para a barra lateral
Ir para o conteúdo principal
Aplicações Vinculadas
Carregando...
Espaços
Digite enter para pesquisar
Ajuda
Ajuda on-line
Atalhos de Teclado
O que há de novo
Gadgets disponíveis
Sobre o Confluence
Autenticação
Linha Microsiga Protheus - Espanhol
Páginas
Notícias
Atalhos
Retrospectivas
Listas de archivos
Requisitos del producto
Artículos de solución de problemas
Artículos cómo
Pesquisa
Árvore de páginas
Navegar nas páginas
Configurar
Ferramentas do espaço
Ver a Página
Remover confirmação de leitura
A
n
exos (1)
Histórico da Página
Informações da Página
Exibir em hierarquia
Ver Fonte
Exportar para Word
Páginas
…
Línea Microsiga Protheus - Español Home
Documento de referencia
Protheus 12
Gestión de compras - Protheus 12
FAQ - Gestión de compras - P12
MATA103 (Documento de entrada)
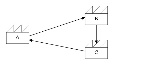
PCOM12007 - Documento de Entrada/Salida - Control de poder De/En terceros (F4_PODER3, TES, Consignación, Operación triangular, B2_QNPT, B2_QTER, B2_QTNP, Devolución Mejora, MV_ALMTERC, MV_CONTERC, MV_LIBSB6, A103SLDPD3, A460TESN3)
Anexos
Nome
Tamanho
Criador
Data de Criação
Rótulos
Comentário
Arquivo JPEG
Triangular.jpg
13 kB
Jose Moises Vera Concha
04 mar, 2024 08:51
Sem rótulos
Versão 1 (atual)
13 kB
Jose Moises Vera Concha
04 mar, 2024 08:51
Visão Geral
Import HTML Content
Conteúdo das Ferramentas
Tarefas
{"serverDuration": 180, "requestCorrelationId": "68a4772319fb73fd"}