ÍNDICE

  1. Visión general
  2. Procedimiento de implantación
  3. Procedimiento de utilización
  4. Modificación de diccionario de datos


01. VISIÓN GENERAL


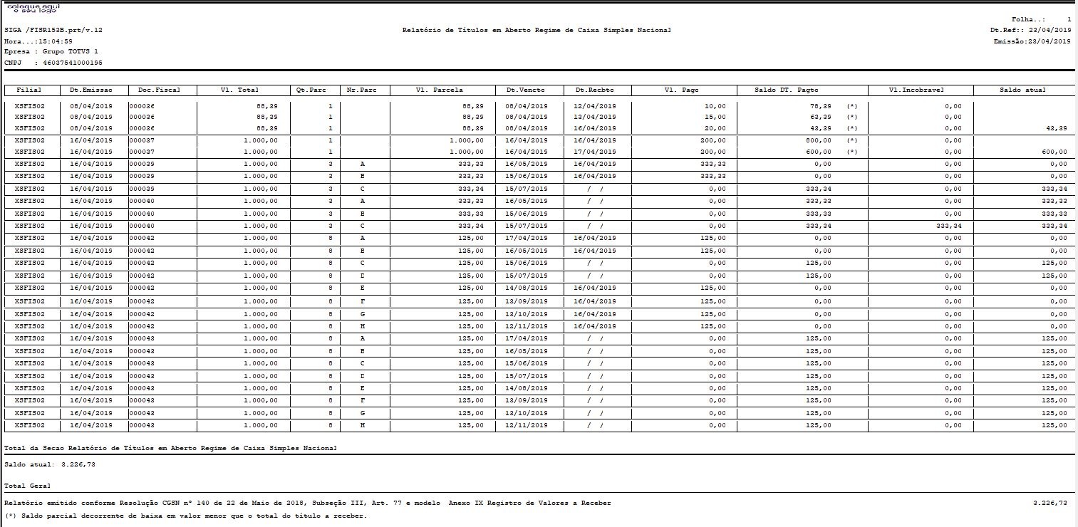
El Informe de títulos pendientes Régimen de caja simple nacional, descrito en la Resolución CGSN nº 140, Subsección III, Art. 77 y modelo  Anexo IX Registro de valores por cobrar,  es obligatorio para empresas que están encuadradas en el Simples Nacional y que realizan el cálculo por el régimen de caja.

Más información en el enlace:

 http://normas.receita.fazenda.gov.br/sijut2consulta/link.action?visao=compilado&idAto=92278#1893250


En este informe deben constar los registros de los valores por cobrar, con base en el modelo del anexo IX, en el cual constarán, como mínimo, la siguiente información, referente a cada prestación de servicio u operación con mercaderías a plazos: (Ley complementaria nº 123, de 2006, art. 2º, inciso I y § 6º; art. 18, § 3º; art. 26, § 4º)


I - Número y fecha de emisión de cada documento fiscal.

II - Valor de la operación o prestación.

III - Cantidad y valor de cada cuota, así como la fecha de los respectivos vencimientos.

IV - Fecha de cobranza y valor cobrado.

V - Saldo por cobrar; y

VI - Créditos considerados no más cobrables.

 

Consideración sobre el Régimen de vigencia y Régimen de caja:

 

¿Qué es el Régimen de vigencia?

En el Régimen de vigencia, el registro del evento se realiza en la fecha en que el evento ocurrió. La contabilidad define el Régimen de vigencia como siendo el registro del documento en la fecha del hecho generador (es decir, en la fecha del documento, sin importar cuando se pagará o cobrará). En el régimen de vigencia, el ingreso bruto se base en el valor de la facturación de las facturas. De esta manera, el cálculo es fácil y objetivo.


¿Qué es Régimen de caja?

Ya en el Régimen de Caja, es lo contrario, donde consideramos el registro de los documentos en la fecha de pago o cobranza. Bajo el régimen de caja, el ingreso bruto se basa en el registro del libro caja o de las cuentas "caja" y "bancos" en el libro mayor. Tampoco es difícil, pero exige la actualización del registro contable, conciliación con los extractos bancarios, controles de descuentos de títulos de crédito, cheques devueltos, cheques presentados nuevamente, etc.


Diferencia entre el Régimen de vigencia vs. Régimen de caja

Por lo tanto, la principal diferencia entre el Régimen de vigencia y el Régimen de caja es que en el primero de estos utilizamos la fecha en que la compra o venta ocurrió y en el segundo consideramos la fecha en que el dinero efectivamente entró o salió de la caja de la empresa.


Consideraciones finales

Como mencionado anteriormente en este informe, deben constar los registros de los valores por cobrar por la empresa, referentes a cada prestación de servicio u operación con mercaderías a plazos, evidenciando al fisco lo que aún podrá tornarse la base de cálculo en futuros cálculos, ya que en el Régimen de Caja del simple nacional, en el cálculo se toma en cuenta los valores efectivamente cobrados en el período independientemente de la emisión del documento fiscal.

Más información en el enlace:

http://www.crcba.org.br/boletim/edicoes/2032.htm


02. PROCEDIMIENTO DE IMPLANTACIÓN


Importante

Para esta implementación será necesario procesar el compatibilizador UPDDISTR con el diferencial del diccionario adjunto.

Para más información sobre el UPDDISTR consultar Actualizador de diccionario y base de datos - UPDDISTR

El archivo con el diccionario diferencial de datos compatible con las versiones 11.80, 12.1.17, 12.1.23 está disponible por medio del enlace: https://suporte.totvs.com/portal/p/10098/download#detail/739772

03. PROCEDIMIENTO DE UTILIZACIÓN


El parámetro MV_DTMREG debe completarse con la fecha donde la empresa calculó el Simple por el Régimen de caja. En caso de vacío, se considerarán todos los títulos pendientes.

Si no exista, debe crearse con los siguientes atributos:

Nombre de la variable

MV_DTMREG

Tipo

Fecha

Descripción

Indica la fecha en que hubo el cambio del régimen de vigencia al régimen de caja.

Valor estándar

Vacío

En este parámetro debe informarse la fecha en que ocurrió el cambio de régimen de vigencia al régimen de caja. Después de realizar esta configuración, las facturas de los documentos emitidos antes de la fecha informada, calculadas bajo el régimen de vigencia, no se considerarán en el informe, de tal manera que el ingreso ya tributado anteriormente, en el período de emisión bajo el régimen de vigencia, no sea nuevamente considerado para el régimen de caja. Si existe más de un cambio el parámetro siempre debe tener la fecha del último cambio.


Para seleccionar el informe, entre en el Módulo Fiscal (SIGAFIS), acceda al Menú Miscelánea/Cálculos/Nuevo Simple Nacional, rutina (FISA153), en la TreeView seleccione Informe Régimen de caja


En la pantalla Parámetros existe una única pregunta Selecciona sucursal: 1-Sí o 2-No

Si la opción 1-Sí se selecciona, aparecerá la pantalla para la selección de sucursales, si fuera la opción 2-No, el sistema emitirá el informe de la sucursal actual.

Recordemos que este informe solo trae los títulos pendientes en la fecha en que está siendo emitido, es decir, será la situación de títulos actual de la empresa, en la fecha actual.


04. MODIFICACIÓN DE DICCIONARIOS DE DATOS


SX1 - Pregunta

PreguntaTipo de datoTamañoModo de entradaVariableOpcionesGrupo de campo
¿Selecciona sucursal ?Carácter1ComboMV_PAR011-Sí, 2-No